keyla.ma logo
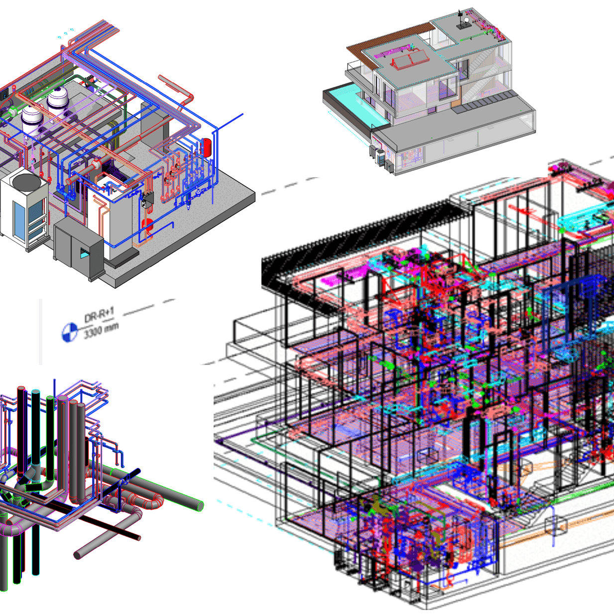
36 Villas

36 Villas

Termine

Mission d'étude technique : - Installation de la climatisation cenralisée et ventilation. - Dimensionnement d’un système de chauffage au sol. - Intégration d’un système solaire thermique. - Etude de l'installation de la piscine chauffée. - Etude des réseaux de la plomberie sanitaire. - Arrosage des espaces verts. -Etude CFO & CFA.

Intervenants du projet

Trouvez le meilleur taux pour votre projet

Simulez votre credit immobilier ou faites une demande pour recevoir une etude personnalisee de votre projet.